Lineare Regression - Modellspezifikation und Modellparameter
Am Ende des heutigen Termins sollten wir folgede Fragen beantworten können:
Konzequenzen hierarchisch organisierter Daten:
Die Ausprägung einer Variable hängt von der Ausprägung einer anderen Variable (oder Kombination von Variablen) ab.
Das Modell \(Y=f(x)+Error\):
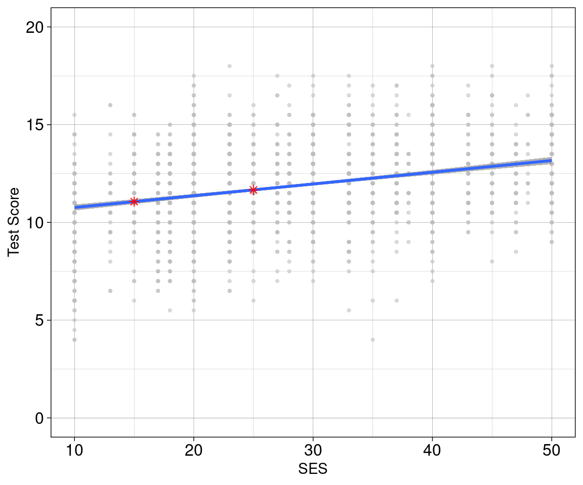
Es soll untersucht werden, wie sich eine Variable \(X\) auf eine Variable \(Y\) auswirkt.
In unseren Beispiel:
Soziökonomischer Status (SES) von Schüler:innen (\(X\)) wirkt sich auf die Perfomanz (Test Score) der Schüler:innen in einem Test (\(Y\)).
Auf der \(Y\)-Achse sehen wir die Performanz.
Auf der \(X\)-Achse sehen wir die Prädiktor-Varible (das womit wir Performanz vorhersagen wollen).

\(\beta_{0}\)
Der Intercept des Modells (AKA - der y-Achsen-Abschnitt). \(\beta_{0}\) kann auch als: “Der Wert von \(Y\), wenn \(X\) = 0 ist”. - Oder, die Antwort auf die Frage: Welche Perfomanz zeigt eine Schüler:in, wenn sie ein Wert von 0 auf SES hat.
\(\beta_{1}\)
Der effekt vom Prädiktor \(X\) (AKA - Die Steigung der Regressionsgerade) \(\beta_{1}\) kann folgendermaßen vertanden werden: - Wenn SES um eine Einheit steigt (also von 0 zu 1), steigt die Performanz (im Mittel) um das \(\beta_{1}\)-fache.
Call:
lm(formula = IQ ~ SES, data = nlschools)
Residuals:
Min 1Q Median 3Q Max
-8.2659 -1.1651 0.0345 1.2147 6.4551
Coefficients:
Estimate Std. Error t value Pr(>|t|)
(Intercept) 10.163000 0.112430 90.39 <2e-16 ***
SES 0.060084 0.003764 15.96 <2e-16 ***
---
Signif. codes: 0 '***' 0.001 '**' 0.01 '*' 0.05 '.' 0.1 ' ' 1
Residual standard error: 1.963 on 2285 degrees of freedom
Multiple R-squared: 0.1004, Adjusted R-squared: 0.09996
F-statistic: 254.9 on 1 and 2285 DF, p-value: < 2.2e-16

require(MASS)
require(ggplot2)
b0 = 10.163000
b1 = 0.060084
x = c(15, 25)
vorhersagen <- b0 + b1 * x
vorhersagen_df <- data.frame(SES = x, IQ = vorhersagen)
ggplot(data = nlschools, aes(x = SES, y = IQ)) +
geom_point(size = 0.8, alpha = 0.5, color = 'gray') +
geom_smooth(method = 'lm', alpha = 0.75) +
geom_point(data = vorhersagen_df, size = 2.0, color = 'red', shape = 8) +
theme_linedraw() +
coord_cartesian(ylim = c(0, 20)) +
labs(y = 'Test Score') +
theme(axis.text = element_text(size = 12))Interpretation der Ergebnisse: